云南天文台提出AGN盘内嵌致密天体吸积新模型
近日,中国科学院云南天文台双星与变星研究团组副研究员焦承亮等人在《皇家天文学会月刊》(MNRAS)发表了题为《Accretion rates of stellar-mass compact objects embedded in AGN discs》的研究论文。该研究提出了一种全新的方法,用于估算嵌入活动星系核(AGN)吸积盘中的恒星级致密天体(如黑洞、中子星和白矮星)的吸积率,为理解此类极端环境中致密天体的演化提供了关键新见解。
活动星系核是星系中心一个异常明亮的区域,其能量来源于中心的超大质量黑洞及其周围的吸积盘。嵌入盘中的恒星级致密天体通过与盘气体相互作用,可发生质量增长、轨道迁移乃至双黑洞并合等一系列关键过程,是当前天体物理研究的前沿方向。以往研究通常采用 Bondi或Bondi–Hoyle–Lyttleton(BHL)模型估算吸积率,但这些模型忽略了气体与致密天体相对运动中所携带的角动量,可能导致对吸积率的系统性高估。
本研究首次系统地将吸积盘气体的角动量效应纳入统一框架,指出在较差转动显著的AGN吸积盘中,落向内嵌致密天体的气体携带着角动量,通常会形成一个粘滞吸积盘,而非传统模型假设的Bondi/BHL吸积流。研究推导出了粘滞吸积率表达式,并指出内嵌致密天体的实际吸积率由粘滞吸积率和BHL吸积率中较低的一项决定。两种模式的划分主要取决于内嵌致密天体与AGN中心超大质量黑洞的质量比、AGN 吸积盘的厚度比(H/R)以及动力学结构。当AGN吸积盘为薄盘时,嵌入的恒星级致密天体通常处于粘滞吸积模式;而在厚度比较大的AGN盘(如slim盘或者ADAF)中,则更倾向于BHL吸积。
研究还给出了一个简洁且极具应用价值的粘滞吸积率近似公式:其与AGN盘的吸积率成正比,比例系数由具体的动力学结构决定(在同向开普勒旋转情形下约为0.38)。该公式非常适合用于族群性质(population-level)研究,如估算大量内嵌致密天体的质量增长或预测双黑洞并合率。
新的理论框架不仅克服了经典Bondi/BHL模型在AGN环境下的局限性,还为研究AGN环境中致密天体的质量增长、轨道演化、双黑洞并合率及相关多信使观测提供了更可靠的物理基础。该框架还能方便地纳入已有的外流校正方案,从而能够更真实地描述超爱丁顿吸积流的动力学行为。
该研究得到中国科学院全球共性挑战专项、云南省建设面向南亚东南亚科技创新中心专项、云南省基金重点项目和云南省兴滇人才支持计划的资助。

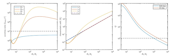
图 1. 不同模型推导出的吸积率和特征尺度随内嵌致密天体在AGN 吸积盘中位置的变化(以标准薄盘、且内嵌致密天体作同向开普勒运动为例)。仅在高温的最内区吸积模式由Bondi吸积主导,其他位置均由粘滞吸积主导。右图显示了 Toomre Q 参数的变化,用于评价吸积盘的自引力稳定性。
附件下载: